08.Algorithm
버블정렬 (Bubble Sort)
Mr. Slumber
2020. 6. 1. 15:31
728x90
반응형
#정의: 나란히 있는 두개의 데이터를 계속 비교하여 교환하는 정렬하는 알고리즘
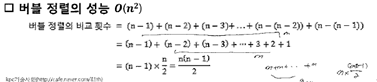
#정렬과정
- 1단계: list[i]와 list[i+1]를 i = 0,1,2, ···, n-2에 대하여 비교하여 만약 뒤 데이터가 값이 더 작으면 바꾼다
- 2단계: list[i]와 list[i+1]를 i = 0,1,2, ···, n-3에 대하여 비교하여 만약 뒤 데이터가 값이 더 작으면 바꾼다
- n-1단계: list[i]와 list[i+1]를 i = 0에 대하여 비교하여 만약 뒤 데이터가 값이 더 작으면 바꾼다
>> 이과정을 거치면 n-1 번째 큰 값이 뒤에서 n-1번째 위치하게 됨
/* list에 대한 기본 버블정렬 알고리즘 */
void bubble_sort(element list[], int n) {
int i, j;
element next;
for(i = n-1; i > 0; i--) {
for(j = 0; j < i; j++) {
if(list[j] > list[j + 1] {
swap(list[j], list[j + 1]);
}
}
}
}


https://www.youtube.com/embed/lyZQPjUT5B4
Bubble-sort with Hungarian ("Csángó") folk dance - YouTube
www.youtube.com


728x90